Blog
Sistem Nombor Perlapanan Juga Dikenali Sebagai
sup kubis panjang
size batu swarovski
simptom tb tulang
sup rumput laut kering
sinopsis cerita dongeng kanak kanak
tanaman merambat bunga putih
susu tin marigold
susunan kabel rangkaian kabel magic com miyako
Sistem Nombor
2 1 Sistem Nombor Perduaan
Ppt Perlapanan Zulkifli Zin Academia Edu
2 1 Sistem Nombor Perduaan
2 1 Sistem Nombor Perduaan
2 1 Sistem Nombor Perduaan
Sistem Nombor
2 1 Sistem Nombor Perduaan
Sistem Nombor
Ujian Ask T2 2018 Skema
Tinta Seorang Saintis Komputer Digital Logik Bab 2 Sistem Nombor
2 1 Sistem Nombor Perduaan
Ziz Osk Fighting Sistem Nombor
Ask F2
Ask Form 2 Midterm 2018
Bab 2 Sistem Nombor Operasi Dan Kod 2 1 Sistem Metalab
Asas Sains Komputer Ting 2 Pages 1 50 Text Version Anyflip
Perwakilan Data Sistem Nombor Perlapanan Quiz Quizizz
Ask T2 1 2 Sistem Nombor Perlapanan Quiz Quizizz
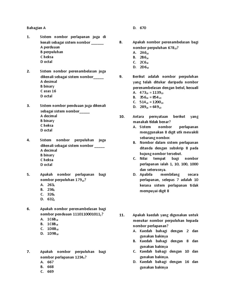
Bahagian A
Source :
pinterest.com
Random Posts
Harga Pemanas Air Listrik Mini
Harga Rumput Laut Kering Per Kilo
Himpunan Cerita Dongeng Kanak Kanak
Hp Xiaomi Warna Gold
Harga Ubat Batuk Prospan
Hs Code Rumput Laut Kering
Harga Gigi Palsu Permanen Bridge
Harga Lampu Kamar Tidur Minimalis
Harga Pemanas Air Elektrik
Hitam Putih Lukisan Bunga Kartun
Harga Kuali Tefal Malaysia
Harga Obat Batuk Prospan Untuk Anak
Harga Rumput Laut Kering Per Kg
Harga Rumput Laut Kering 2020
Harga Pot Bunga Plastik Putih
Harga Obat Batuk Prospan
Harga Pilox Warna Emas
Henna Corak Daun
Harga Pemanas Air Elektrik Panasonic
Harga Bunga Daisy Putih